(question) 问题

当我编程粗加工或精加工操作时,我想 避免切入沟槽 !

(tick) 解决方案

您可以通过策略页面中的一个选项来实现,该选项称为 倒凹 .

  • 默认情况下,此选项设置为 :刀路包含沟槽。

  • 如果将选项设置为 ,则会避免沟槽。

  • 另一个选项允许定义一个 最小值 用于允许倒凹;您可以看到一个示例,其值为 10 毫米。低于 10 毫米宽的沟槽不会被加工。

更多信息和视频请参见此处: 倒凹


(question) 问题

如何编程 精加工 使用 反向刀路 ,它 避免沟槽 并执行 面铣 操作?

(tick) 解决方案

  • 首先,使用 反向刀路 进行精加工,这意味着在标准车床上从左到右。

  • 您需要设置 ‘倒凹 ,如果您想加工肩部!

  • 但是,刀具也会切入沟槽,在这种情况下我们不希望这样!为了解决这个问题,我们准备了 加工余量 在沟槽形状中。

请观看视频,其中显示了此过程的所有步骤:

单击链接以获取有关 加工余量

Finishing with back toolpath-20240814-051026.png


(question) 问题

如何 传输 工件从 铣削到车削 ?

(tick) 解决方案

以下是将零件从铣削编程转移到车削环境的步骤。

请仔细观看视频以遵循过程;这里我们使用 MTE,但没有 MTE 的过程是相同的。

Transfer Milling to Turning-20240814-051127.png


(question) 问题

如何编程 螺纹车削 ?

(tick) 解决方案

来自 Sandvik 用户指南

主轴上的右旋螺纹

副主轴视图上的右旋螺纹(旋转 180 度)

螺纹类型 / 工件 / 加工方向 / 旋转方向

螺纹类型

刀具

强制耦合

旋转方向

NC

进给方向

右旋螺纹

↔️

CCW

(M3)

滑动(对齐)

右旋螺纹

↔️

CW

(M4)

拉动(远离对齐)

左旋螺纹

↔️

CW

(M4)

滑动(对齐)

左旋螺纹

↔️

CCW

(M3)

拉动(远离对齐)

CW & CCW :定义为使用户从刀具方向观察卡盘,旋转方向由此得出。
M3 & M4 :定义为使发动机越过卡盘看向组件。

总结:

  1. 右刀只能与 CCW(M3)旋转方向结合使用。

  2. 这意味着左刀只能与 CW(M4)旋转方向一起使用。

  3. 一个 右旋螺纹 因此可以

    1. CW 因此 左工件。 总是只能通过拉动产生

    2. CCW 因此 右工件。 总是只能通过推动产生

  4. 一个 左旋螺纹 根据旋转方向

    1. CW 和因此 左工件。 总是只能通过推动产生

    2. CCW 因此 右工件。 总是只能通过拉动产生

这导致 GO2cam 的以下图像

外部右旋螺纹,使用左刀

由于 CW,只能通过拖动加工实现。

If you simulate this editing in GO2cam 版本 < 6.08.202 on the Sub Spindle, the wrong direction of rotation seems to be simulated, so that the visual result shows the wrong slope slope.

外部右旋螺纹,使用右刀

由于 CCW,只能通过滑动加工实现。

内部右旋螺纹,使用右刀

由于 CCW,只能通过滑动加工实现

螺纹参数

螺纹车削参数的选择也取决于刀具,如下例所示:

在 SIEMENS 的 SinuTrain 编程站中,使用螺纹循环 CYCLE97 来加工一个螺距为 1 的外螺纹。螺纹深度为 0.5 毫米(即直径 1 毫米),以便在模拟中轻松验证结果。

根据 DIN 13 定义的螺纹刀具,具有正确的切削半径 0.1443 毫米。

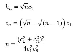
参数:

h n = 总深度
c 1 = 第一次下刀量
c n = 最后一次下刀量
n = 粗加工次数。

使用标准切削半径定义的螺纹刀具:

因此, 第一次 最后 必须根据所需的总深度和粗加工次数选择进给量(反之亦然)。

如果使用的后处理器将螺纹加工输出为机床循环(例如 SIEMENS 的 CYCLE97 或 Fanuc 的 G76),则关键参数是螺纹螺距、总深度和(粗加工)次数。在这种情况下,NC 代码始终是正确的。

参数组合不正确可能导致螺纹加工模拟不正确。如果使用的后处理器不输出机床循环,而是使用 G33 输出各个切削,那么在这种情况下 NC 代码也是不正确的!

(question) 问题

对于 内螺纹加工 ,我希望比操作中具有更大的安全性。

(tick) 解决方案

在刀路之间的 Z 位置 选定的几何图形 .
至于 最终退刀 运动由 量规 检查管理。

由于几何图形具有 进刀距离 ,刀路在几何元素开始处管理 Z 退刀 7 毫米。

要使结束时的退刀比操作期间的退刀更长,您可以在 快速移动的 Z 向安全距离 .

(question) 问题

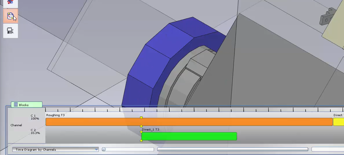
如何定义 MTE 设置 用于加工循环 同步?

(tick) 解决方案

对于多刀塔机床,同步各种循环的能力通过减少刀具空闲时间并重叠每个循环的加工时间而不发生碰撞来提高加工过程的效率。

在 GO2cam 中,要定义两个循环之间的同步,您可以按照以下步骤操作:

像往常一样使用单独的刀具定义您的加工循环。

例如,在此示例中,我们希望将直接 1 沟槽循环(绿色刀路)与粗加工循环在指示点(如圈出)处同步。目的是在粗加工循环到达圈出点时立即开始沟槽循环。

为此, 右键单击 在所需循环上,在此情况下为粗加工循环,然后从 刀具路径技术信息 选择。

选择 刀具路径同步 从下拉列表中。

然后您可以选择刀具路径参数来定义要同步的实体,单击确定并验证。

在此示例中,我们将选择 元素端点 并单击接触先前照片中圈出区域的刀具路径线。

我们对沟槽循环(直接 1)执行相同的操作。对于刀具路径参数,我们选择 循环开始 并选择沟槽刀路。

接下来,进入机床环境,如果您还没有加载机床,请加载它并设置您的 刀具 按需。

最后,您可以通过单击同步功能来检查同步。您将能够在时间图上看到循环之间的同步。

▶️ You can watch a video of the example with some additional details below:

MTE Synchro-20240814-051305.png


(question) 问题

如何布局车削零件及其组件?

(tick) 解决方案

对于车削,在 NC 文件菜单下,我们有选项 传输到布局/尺寸标注 在折叠部分中。

您的机床应加载符号: 卡盘和卡爪 .

您必须确保符号来自 sym GO2cam 目录中的文件夹。

在某些情况下,它可能不在该文件夹之外,GO2cam 会提示一个 警告 .

只需将文件复制到 sym 文件夹: C:\GO2cam_Intl\GO2camV6XX\sym

单击图标时,将出现一个对话框:

对话框允许您:

  • 选择布局的颜色。

  • 显示所选循环的标签。

选择 循环 您希望布局的,然后单击绿色勾号以 验证 .

GO2cam 将打开 另存为 对话框以保存文件,然后切换环境。

在布局设计/尺寸标注中,您可以开始绘制布局。

(question) 问题

如何使用径向刀路加工内沟槽?

(tick) 解决方案

要实现使用径向刀路进行内沟槽加工,请遵循以下步骤:

  1. 轮廓方向: 定义刀路的轮廓方向。通常是“从上到下”。

image-20240528-101840.png
  1. 将循环类型设置为 “面铣” 作为加工策略。这至关重要,因为“面铣”策略允许刀路加工 内部 零件轮廓。

观看右侧关于该过程的视频。

image-20240528-102200.png

inside and Facing toolpaths-20240814-051357.png

(question) 问题

如何在 GO2cam 中手动创建刀路?

(tick) 解决方案

能够手动定义刀路至关重要,尤其是在应用特定 成型刀具 时。此类刀具具有独特的切削形状,必须仔细控制其切削路径以避免碰撞风险。“点到点”循环有助于实现这一点。 点到点 有助于实现这一点。

它可以在 零件 子菜单下访问。

Point to Point.png

点到点循环是一个 100% 手动循环,参数最少。它用于生成其他循环无法定义的特定刀路。因此,几何选择方法也可能略有不同。例如,在下面的示例中,要使用此特定刀具形状加工内部形状,已绘制了引导轮廓(红色),以协助几何选择,特别是对于角度运动,以避免碰撞。

注意:引导线不是强制性的,在其他情况下,所需的刀路可以简单地从零件轮廓和进刀/退刀点定义。

Guide.png

选择引导线以定义轮廓。

定义进刀点路径。(红色)

定义退刀点路径。(黄色)

进刀点、所选轮廓和退刀点共同定义了刀具引导点的整个运动。

选择刀具和循环(循环类型应为内部)并运行计算。

这将生成加工此轮廓的刀路。

对于此循环,不进行毛坯计算。也没有零件和刀具之间的碰撞检查。

您可以在右侧观看一个展示此示例的视频。

Geometry selection.png

Point to Point-20240814-051442.png

(question) 问题

如何加工一个方向与外沟槽相同的内沟槽?

(tick) 解决方案

要加工此沟槽,需要沿 -X 方向进行选择。因此,零件需要具有对称的轮廓,以便可以在底部轮廓中进行几何选择。

此外,为了正确定向刀具并生成所需的刀路,零件应设置在返工主轴上。

您可以在右侧观看一个展示此示例的视频。

Help  - Turning - Machining Inside Groove in -X-20250402-121209.png

(question) 问题

MTE:如何在同步循环中使用两种不同的刀具?

(tick) 解决方案

像往常一样使用所需的同步设置定义您的平衡粗加工/平衡精加工循环。在这种情况下,由于选择了一个刀具,相同的刀具将在 MTE 中加载两次。

Initial.PNG

Synchronization parameters-20240624-095710.PNG

要设置第二个不同刀具,请展开加工树中的循环。 右键单击 在现有刀具上选择“ 添加一个不同的反向刀具 '.

这将再次打开刀具选择窗口,您可以在其中选择所需的刀具并验证。

两个刀具现在都将在加工树中可见。

在 MTE 中,如果执行自动装配,这两个刀具将自动装配在相对的刀塔上。

Opposite tool.png

2 tools.PNG

您可以观看一个解释平衡同步循环应用的视频。跳至 2.20 在视频中查看循环的两个不同刀具的定义。

Balanced roughing - finishing-20240814-051528.png

(question) 问题

“去毛刺长度”参数如何工作?

(tick) 解决方案

“去毛刺长度”参数通过确定刀具在 Z 方向上移动以切削棒料上的切屑的距离来工作。此距离包括刀具半径。

  1. 刀路: 刀具沿着预定的路径沿着工件移动。

  2. Z 向运动: 当刀具沿着此路径移动时,“去毛刺长度”参数指定刀具在 Z 方向(向上或向下)上移动多远以切削切屑。

  3. 切屑去除: 此 Z 向运动有效地去除了工件末端形成的毛刺或切屑。

image-20240913-104130.png

Deburring in Roughing.png

(question) 问题

如何在铣床机床上进行车削操作?

(tick) 解决方案

要在铣床机床上执行车削操作:

  1. 机床设置:

    • 机床必须首先在机床创建区域定义为 车床 。( 通过经销商 )

    • 您的机床必须是 带旋转台的五轴铣床

    • 在刀路之间的 立式车床模块 是必需的

  2. 工件夹持:

    • 仅卡爪 允许用于夹持工件

  3. 操作:

    • 使用立式车床模块设置车削操作。

Turning on milling machine.png