(question) Soru

Bir kaba veya finiş operasyonu programlarken, şunu yapmak istiyorum: kanallara dalmaktan kaçının !

(tick) Çözüm

Bunu Strateji sayfasının Ters açı .

  • Varsayılan olarak, bu seçenek şuna ayarlanmıştır: Evet : takım yolu kanalları içerir.

  • Seçeneği şuna ayarlarsanız Hayır , kanallar kaçınılacaktır.

  • Başka bir seçenek, ters açıya izin vermek için bir minimum değer tanımlamanıza olanak tanır; 10 mm'ye ayarlanmış bir değerle bir örnek görebilirsiniz. 10 mm'den daha dar kanallar işlenmez.

Daha fazla bilgi ve video burada: Ters açı


(question) Soru

Nasıl programlanır bir bitirme bir ters takım yolu , bu kanallardan kaçınır ve Yüzey Operasyonu?

(tick) Çözüm

  • Önce finişi bir ters takım yolu ile programlayın, bu da standart bir torna tezgahında soldan sağa demektir.

  • Ayar yapmanız gerekir ‘Ters açı şuna Evet , eğer omuz bölümlerini işlemek istiyorsanız!

  • Ancak o zaman takım, bu durumda istemediğimiz kanallara da iniyor! Bunu aşmak için, kanalların şekillerinde İşleme payları hazırlıyoruz.

Bu işlemin tüm adımlarını gösteren videoyu izleyin:

Hakkında daha fazla bilgi almak için bağlantıya tıklayın İşleme payları

Finishing with back toolpath-20240814-051026.png


(question) Soru

Nasıl transfer bir iş parçası Frezeleme'den Torna'ya ?

(tick) Çözüm

Frezelemede programlanmış bir parçayı torna ortamına aktarmak için adımlar şunlardır.

İşlemi doğru takip etmek için videoyu dikkatlice izleyin; burada MTE kullanıyoruz ancak MTE olmadan da işlem aynıdır.

Transfer Milling to Turning-20240814-051127.png


(question) Soru

Nasıl programlanır diş tornalama ?

(tick) Çözüm

Sandvik Kullanım Kılavuzundan

Ana İş Mili üzerinde sağ el vida görünümü

Alt iş mili görünümünde sağ el vida (180 derece döndürülmüş)

Vida Tipi / Wkz. / İşleme Yönü / Dönme Yönü Tablosu

Vida Tipi

Takım

Zorla kuplajlı

Dönme yönü

NC

Besleme yönü

Sağ el vida

Sağ

↔️

Saat yönünün tersine

(M3)

kayma (hizalamaya doğru)

Sağ el vida

Sol

↔️

Saat yönünde

(M4)

çekme (hizalamadan uzağa)

Sol el vida

Sol

↔️

Saat yönünde

(M4)

kayma (hizalamaya doğru)

Sol el vida

Sağ

↔️

Saat yönünün tersine

(M3)

çekme (hizalamadan uzağa)

Saat yönünde ve Saat yönünün tersine : kullanıcının takımdan ayna yönüne baktığı ve dönme yönünün bundan kaynaklandığı şeklinde anlaşılacak şekilde tanımlanır.
M3 ve M4 : motorun aynaya bileşen yönünden baktığı şekilde tanımlanır.

Özetle:

  1. Sağ takım yalnızca saat yönünün tersine (M3) dönme yönü ile birlikte kullanılabilir.

  2. Bu, sol el takımın yalnızca saat yönünde (M4) dönme yönü ile kullanılabileceği anlamına gelir.

  3. Bir sağ el vida bu nedenle

    1. Saat yönünde ve dolayısıyla sol Wkz. her zaman yalnızca çekerek oluşur

    2. Saat yönünün tersine ve dolayısıyla sağ Wkz. her zaman yalnızca iterek oluşur

  4. Bir sol el vida dönme yönüne göre

    1. Saat yönünde ve dolayısıyla sol Wkz. her zaman yalnızca iterek oluşur

    2. Saat yönünün tersine ve dolayısıyla sağ Wkz. her zaman yalnızca çekerek oluşur

Bu, GO2cam için aşağıdaki görüntüyü verir

Sol takımla dış tarafta sağ el vida

Saat yönünde işlem nedeniyle yalnızca çekerek işlemeye uygundur.

If you simulate this editing in GO2cam sürümü < 6.08.202 on the Sub Spindle, the wrong direction of rotation seems to be simulated, so that the visual result shows the wrong slope slope.

Sağ takımla dış tarafta sağ el vida

Saat yönünün tersine nedeniyle yalnızca kayarak işlemeye uygundur.

Sağ takımla iç tarafta sağ el vida

Saat yönünün tersine nedeniyle yalnızca kayarak işlemeye uygundur

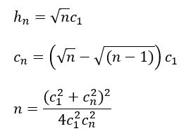
Vida Parametreleri

Vida tornalama için parametre seçimi de takıma bağlıdır, aşağıdaki örnek bunu göstermektedir:

SIEMENS'in SinuTrain programlama istasyonunda, vida derinliği 0.5 mm (yani çap olarak 1 mm) olan dış bir vida üretmek için vida çevrimi CYCLE97 kullanılır, böylece sonuç simülasyonda kolayca doğrulanabilir. Vida adımı 1'dir.

DIN 13'e göre "doğru" kesme yarıçapı 0.1443 mm ile tanımlanmış vida takımı.

Parametreler:

h n = Toplam derinlik
c 1 = İlk teslimat
c n = Son teslimat
n = Kaba kesim sayısı.

Standart bir kesme yarıçapı ile tanımlanmış vida takımı:

Bu nedenle, istenen toplam derinliğe ve kaba paso sayısına göre ilk ve son giriş seçilmelidir (ve tersi).

Kullanılan post-işlemci, vida işlemesini bir makine çevrimi olarak (örneğin SIEMENS için CYCLE97 veya Fanuc için G76) çıktı veriyorsa, temel parametreler vida adımı, toplam derinlik ve (kaba) paso sayısıdır. Bu durumda, NC kodu her durumda doğrudur.

Parametrelerin yanlış bir kombinasyonu, vida işlemesinin yanlış simülasyonuna yol açabilir. Kullanılan post-işlemci makine çevrimi değil, G33 ile bireysel kesimleri çıktı veriyorsa, bu durumda da NC kodu yanlıştır!

(question) Soru

İçin iç diş açma , operasyondakinden daha fazla güvenlik istiyorum.

(tick) Çözüm

Geçişler arasındaki Z konumu arasındaki seçilen geometri .
İçin son geri çekilme hareket ölçer kontrolü ile yönetilir.

Geometrinin bir giriş mesafesi olduğu için, takım yolu Z geri çekilmesini geometri elemanının başlangıcından 7 mm olarak yönetir.

Operasyon sırasındaki geri çekilmeden daha fazla bir geri çekilme elde etmek için, Hızlı hareketler için Z'de güvenlik mesafesi .

(question) Soru

Nasıl tanımlanır MTE ayarlarında işleme çevrimleri için senkronizasyon?

(tick) Çözüm

Çoklu taretli makineler için, çeşitli çevrimleri senkronize etme yeteneği, takımların boşta kalma sürelerini azaltarak ve çarpışma olmadan her bir çevrimin işleme sürelerini üst üste bindirerek işleme sürecinin verimliliğini artırır.

GO2cam'de, 2 çevrim arasında senkronizasyon tanımlamak için aşağıdaki adımları izleyebilirsiniz:

İşleme çevrimlerinizi ayrı takımlarla her zamanki gibi tanımlayın.

Örneğin bu örnekte, Doğrudan_1 kanal çevrimini (yeşil takım yolları) belirtilen noktada (önceki fotoğrafta daire içine alınmış) kaba işleme çevrimi ile senkronize etmek istiyoruz. Amaç, kaba işleme çevrimi daire içine alınmış noktaya ulaştığında kanal çevrimini başlatmaktır.

Bunu yapmak için, sağ tıklayın gereken çevrim üzerinde, bu durumda kaba işleme çevrimi ve Takım yolu Tekno seçiminden oluşturmayı seçin.

Seçin Takım Yolu Senkronizasyonu açılır listeden.

Ardından senkronize edilecek öğeyi tanımlamak için takım yolu parametrelerini seçebilir, ok'a tıklayıp doğrulayabilirsiniz.

Bu örnek için, Eleman uç noktası seçeceğiz ve daire içine alınmış bölgeye dokunan takım yolu çizgisine tıklayacağız (önceki fotoğrafta).

Aynı şeyi kanal çevrimi (Doğrudan_1) için de tekrarlıyoruz. Takım yolu parametresi için Çevrim başlangıcı seçiyoruz ve kanal takım yollarını seçiyoruz.

Ardından, Makine ortamına geçerek, makinenizi yüklemediyseniz yükleyebilir ve Takımlama gerektiği gibi ayarlayabilirsiniz.

Son olarak, senkronizasyon fonksiyonuna tıklayarak senkronizasyonunuzu kontrol edebilir, Zaman Diyagramında çevrimler arasındaki senkronizasyonu görebilirsiniz.

▶️ You can watch a video of the example with some additional details below:

MTE Synchro-20240814-051305.png


(question) Soru

Bir torna parçasını ve bileşenlerini nasıl düzenleyebilirim?

(tick) Çözüm

Torna için, NC Dosyası menüsü altında, Düzenleme/Ölçülendirmeye Aktar açılır bölümünde seçeneğimiz var.

Makineniz şu sembollerle yüklenmiş olmalıdır: Ayna ve Çeneler .

Sembollerin GO2cam dizinindeki sym klasöründen olduğundan emin olmalısınız.

Bazı durumlarda, bu klasörün dışında olabilir ve GO2cam bir uyarı .

Sembol klasörüne dosyaları kopyalayın: C:\GO2cam_Intl\GO2camV6XX\sym

Simgeye tıklandığında bir iletişim kutusu görünecektir:

İletişim kutusu şunları yapmanızı sağlar:

  • Düzenin rengini seçin.

  • Seçilen çevrimlerin etiketlerini gösterin.

İstediğiniz çevrimler seçin ve doğrulamak .

GO2cam bir olarak kaydeder dosya kaydetme iletişim kutusu açacaktır, ardından ortam değiştirilecektir.

Düzen Tasarımı / Ölçülendirme'de, düzeni çizmeye başlayabilirsiniz.

(question) Soru

Radyal bir takım yolu kullanarak iç kaba işleme nasıl yapılır?

(tick) Çözüm

Radyal bir takım yolu ile iç kaba işleme yapmak için şu adımları izleyin:

  1. Profil Yönü: Takım yolu için profil yönünü tanımlayın. Tipik olarak, "Yukarıdan Aşağıya".

image-20240528-101840.png
  1. Çevrim türünü "Yüzey" olarak ayarlayın. Bu, "Yüzey" stratejisi takım yolunun içini işlemesine izin verdiği için çok önemlidir.

İşlemi açıklayan sağdaki videoyu izleyin.

image-20240528-102200.png

inside and Facing toolpaths-20240814-051357.png

(question) Soru

GO2cam'de bir takım yolunu manuel olarak nasıl oluşturabilirim?

(tick) Çözüm

Manuel olarak bir takım yolu tanımlayabilmek, özellikle özel form takımları uygulamasında büyük önem taşır. Bu tür takımların kendine özgü kesme şekilleri vardır ve çarpışma riskinden kaçınmak için kesme yolları dikkatlice kontrol edilmelidir. Döngü Noktadan noktaya bunu başarmaya yardımcı olur.

Alt Parça alt menüsünden erişilebilir.

Point to Point.png

Noktadan noktaya çevrimi, minimum parametrelere sahip %100 manuel bir çevrimdir. Diğer çevrimlerle tanımlanamayan özel takım yolları oluşturmak için kullanılır. Bu nedenle, geometri seçme yöntemi de biraz farklılık gösterebilir. Örneğin aşağıdaki örnekte, bu özel takım şekliyle iç şekli işlemek için, özellikle çarpışmadan kaçınmak için açısal hareketler için geometri seçimini kolaylaştırmak üzere bir kılavuz profil (kırmızı renkte) çizilmiştir.

Not: Kılavuz zorunlu değildir, diğer durumlarda, gerekli takım yolu sadece parça profili ve yaklaşma/geri dönüş noktalarından tanımlanabilir.

Guide.png

Profili tanımlamak için kılavuzu seçin.

Yaklaşma noktası yolunu tanımlayın. (kırmızı renkte)

Geri dönüş noktası yolunu tanımlayın. (sarı renkte)

Yaklaşma noktası, seçilen profil ve geri dönüş noktası ile birlikte, takımın pilot noktasının tüm hareketini tanımlar.

Takımı ve çevrimi (çevrim türü iç olmalı) seçin ve hesaplamayı çalıştırın.

Bu, bu profili işlemek için takım yolunu oluşturacaktır.

Bu çevrim için stok hesaplaması yapılmaz. Ayrıca parça ve takım arasında çarpışma kontrolü yoktur.

Bu örneği gösteren videoyu sağda izleyebilirsiniz.

Geometry selection.png

Point to Point-20240814-051442.png

(question) Soru

Dış oluk gibi yönlendirilmiş bir iç oluk nasıl işlenir?

(tick) Çözüm

Bu oluğu işlemek için seçim -X yönünde yapılmalıdır. Sonuç olarak, parçanın simetrik silüetlere sahip olması gerekir, böylece geometri seçimi alt silüette yapılabilir.

Ayrıca, takımın doğru yönlendirilmesi ve gerekli takım yollarının oluşturulması için parça, işleme milinde ayarlanmalıdır.

Bu örneği gösteren videoyu sağda izleyebilirsiniz.

Help  - Turning - Machining Inside Groove in -X-20250402-121209.png

(question) Soru

MTE: Senkronize bir çevrimde 2 farklı takım nasıl kullanabilirim?

(tick) Çözüm

Dengeli Kaba / Dengeli Finiş çevrimini, gerekli senkronizasyon ayarlarıyla her zamanki gibi tanımlayın. Bu durumda, tek bir takım seçildiği için, aynı takım MTE'ye iki kez yüklenecektir.

Initial.PNG

Synchronization parameters-20240624-095710.PNG

Farklı bir ikinci takım ayarlamak için, çevrimi işleme ağacında genişletin. Sağ tıklayın mevcut takım üzerinde ' Farklı bir ters takım ekle '.

Bu, araç seçim penceresini tekrar açacaktır; buradan istediğiniz aracı seçip doğrulayabilirsiniz.

Her iki takım da artık işleme ağacında görünecektir.

MTE'de, Otomatik montaj yaparsanız, bu 2 takım otomatik olarak ters taretlere monte edilecektir.

Opposite tool.png

2 tools.PNG

Dengeli senkronize çevrimlerin uygulanmasını açıklayan bir videoyu izleyebilirsiniz. Çevrim için 2 farklı takımın tanımını görmek için videoda 2.20 bölümüne atlayın.

Balanced roughing - finishing-20240814-051528.png

(question) Soru

"Çapak Alma Uzunluğu" parametresi nasıl çalışır?

(tick) Çözüm

"Çapak Alma Uzunluğu" parametresi, çipi çubuk üzerinde kesmek için takımın Z yönünde ne kadar hareket edeceğini belirleyerek çalışır. Bu mesafe takım yarıçapını içerir.

  1. Takım Yolu: Takım, iş parçası boyunca önceden belirlenmiş bir yolu izler.

  2. Z hareketi: Takım bu yolu izlerken, "Çapak Alma Uzunluğu" parametresi, çipi kesmek için takımın Z yönünde (yukarı veya aşağı) ne kadar hareket etmesi gerektiğini belirtir.

  3. Çip Kaldırma: Bu Z hareketi, iş parçasının ucunda oluşan çapak veya talaşı etkili bir şekilde kaldırır.

image-20240913-104130.png

Deburring in Roughing.png

(question) Soru

Freze Makinesinde torna işlemi nasıl yapılır?

(tick) Çözüm

Freze makinenizde torna işlemleri yapmak için:

  1. Makine Kurulumu:

    • Makine öncelikle makine oluşturma alanında bir torna tezgahı olarak tanımlanmalıdır. ( Bayi )

    • Makineniz bir döner tablalı 5 eksenli freze makinesi

    • Geçişler arasındaki dikey torna modülü gereklidir

  2. İş Parçası Tutma:

    • Yalnızca çeneler iş parçasını tutmak için izin verilir

  3. Operasyon:

    • Tornalama işlemini ayarlamak için dikey torna modülünü kullanın.

Turning on milling machine.png