(question) Frage

Wenn ich eine Schrupp- oder Schlichtoperation programmiere, möchte ich Vermeiden von Einstichen in Nuten !

(tick) Lösung

Dies können Sie mit einer Option auf der Strategie-Seite namens Hinterschnitt .

  • Standardmäßig ist diese Option auf Ja eingestellt: Der Werkzeugweg beinhaltet die Nuten.

  • Wenn Sie die Option auf Nein setzen, werden die Nuten vermieden.

  • Eine weitere Option ermöglicht die Definition eines minimaler Wert für die Zulassung von Hinterschnitten; Sie können ein Beispiel mit einem Wert von 10 mm sehen. Unter 10 mm Breite werden die Nuten nicht bearbeitet.

Weitere Informationen und ein Video finden Sie hier: Hinterschnitt


(question) Frage

Wie programmiere ich ein Schlichten mit einem Rückwärts-Werkzeugweg , das Nuten vermeidet und die Flächenbearbeitung Operation durchführt?

(tick) Lösung

  • Programmieren Sie zuerst das Schlichten mit einem Rückwärts-Werkzeugweg , was auf einer Standard-Drehmaschine von links nach rechts bedeutet.

  • Sie müssen „Hinterschnitt setzen, wenn Sie die Schulterbereiche bearbeiten möchten! Ja Aufmaße

  • in den Nutformen vor. Aber dann fährt das Werkzeug auch in die Nuten, was wir in dieser Situation nicht wollen! Um dies zu bewältigen, bereiten wir Bitte sehen Sie sich das Video an, das alle Schritte dieses Prozesses zeigt:

Klicken Sie auf den Link, um weitere Informationen zu erhalten über

Finishing with back toolpath-20240814-051026.png


(question) Frage

ein Werkstück von Wie Fräsen nach Drehen Hier sind die Schritte, um ein im Fräsen programmiertes Teil in die Dreh-Umgebung zu übertragen. ?

(tick) Lösung

Bitte sehen Sie sich das Video sorgfältig an, um den Prozess einzuhalten; hier verwenden wir MTE, aber der Prozess ist auch ohne MTE derselbe.

Gewindedrehen

Transfer Milling to Turning-20240814-051127.png


(question) Frage

Aus dem Sandvik Benutzerhandbuch Wie programmiere ich ?

(tick) Lösung

Rechtsgewinde, betrachtet auf der Hauptspindel

Rechtsgewinde, betrachtet auf der Gegenspindelansicht (um 180 Grad gedreht)

Tabelle Gewindetyp / Wkz. / Bearbeitungsrichtung / Drehrichtung

Gewindetyp

Werkzeug

Kraftschlüssig verbunden

Drehrichtung

NC

Vorschubrichtung

Rechtsgewinde

Rechts

gegen den Uhrzeigersinn

↔️

(M3)

gleitend (zum Ausrichten)

Links

Rechts

im Uhrzeigersinn

↔️

(M4)

ziehend (vom Ausrichten weg)

Linksgewinde

gleitend (zum Ausrichten)

im Uhrzeigersinn

↔️

(M4)

ziehend (vom Ausrichten weg)

gegen den Uhrzeigersinn & im Uhrzeigersinn

gleitend (zum Ausrichten)

gegen den Uhrzeigersinn

↔️

(M3)

gleitend (zum Ausrichten)

Linksgewinde

: wird so definiert, dass der Benutzer das Futter aus Richtung des Werkzeugs betrachtet und die Drehrichtung sich daraus ergibt. M3 & M4
: wird so definiert, dass der Motor über das Futter auf das Bauteil schaut. Zusammenfassend:

Das rechte Werkzeug kann nur in Kombination mit der Drehrichtung gegen den Uhrzeigersinn (M3) verwendet werden.

  1. Das bedeutet, dass ein linkes Werkzeug nur mit der Drehrichtung im Uhrzeigersinn (M4) verwendet werden kann.

  2. Rechtsgewinde

  3. kann daher Ein im Uhrzeigersinn

    1. und somit linkes Wkz. immer nur durch Ziehen entstehen gegen den Uhrzeigersinn

    2. rechtes Wkz. linkes Wkz. immer nur durch Drücken entstehen Linksgewinde

  4. kann daher entsprechend der Drehrichtung und somit

    1. (M4) immer nur durch Drücken entstehen immer nur durch Ziehen entstehen rechtes Wkz.

    2. rechtes Wkz. linkes Wkz. Dies ergibt das folgende Bild für GO2cam gegen den Uhrzeigersinn

Rechtsgewinde außen mit linkem Werkzeug

Nur möglich mit ziehender Bearbeitung aufgrund des Uhrzeigersinns.

GO2cam Version < 6.08.202

If you simulate this editing in Rechtsgewinde außen mit rechtem Werkzeug on the Sub Spindle, the wrong direction of rotation seems to be simulated, so that the visual result shows the wrong slope slope.

Nur möglich mit gleitender Bearbeitung aufgrund des Gegenuhrzeigersinns.

Rechtsgewinde innen mit rechtem Werkzeug

Nur möglich mit gleitender Bearbeitung aufgrund des Gegenuhrzeigersinns

Gewindeparameter

Die Wahl der Parameter für das Gewindedrehen hängt auch vom Werkzeug ab, wie das folgende Beispiel zeigt:

In der Programmierstation SinuTrain von SIEMENS wird der Gewindebearbeitungszyklus CYCLE97 verwendet, um ein Außengewinde mit einer Steigung von 1 zu erzeugen. Eine Gewindetiefe von 0,5 mm wird verwendet (d. h. 1 mm im Durchmesser), damit das Ergebnis in der Simulation leicht überprüfbar ist.

Gewindewerkzeug mit einem Schneidenradius von 0,1443 mm gemäß DIN 13 definiert.

Parameter:

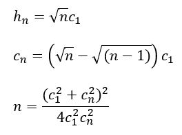
n

= Gesamttiefe h c
= Erste Zustellung 1 = Letzte Zustellung
= Erste Zustellung h Gewindewerkzeug mit einem Standard-Schneidenradius von:
n = Anzahl der Schruppoperationen.

erste

und Daher müssen die letzte Zustellung entsprechend der gewünschten Gesamttiefe und der Anzahl der Schruppdurchgänge gewählt werden (und umgekehrt). Wenn der verwendete Postprozessor die Gewindebearbeitung als Maschinenzyklus ausgibt (z. B. CYCLE97 für SIEMENS oder G76 für Fanuc), sind die wesentlichen Parameter die Gewindesteigung, die Gesamttiefe und die Anzahl der (Schrupp-)Durchgänge. In diesem Fall ist der NC-Code in jedem Fall korrekt.

Eine falsche Kombination von Parametern kann zu einer falschen Simulation der Gewindebearbeitung führen. Wenn der verwendete Postprozessor keinen Maschinenzyklus ausgibt, sondern die einzelnen Schnitte mit G33, ist der NC-Code auch in diesem Fall falsch!

Innengewinde

(question) Frage

, möchte ich eine größere Sicherheit als in der Operation. Für das Z-Position

(tick) Lösung

zwischen den Durchgängen wird durch die Der ausgewählte Geometrie Endrückzug .
Bewegung betrifft, wird diese gesteuert durch Was den movement is managed by Einstellmaß Prüfen.

Da die Geometrie eine Anfahrabstand hat, verwaltet der Werkzeugweg den Z-Rückzug 7 mm vom Start des Geometrieelements.

Um einen Rückzug am Ende zu haben, der größer ist als während der Operation, können Sie einen Wert in den Sicherheitsabstand in Z für Eilgänge .

(question) Frage

Wie definiere ich MTE Einstellungen für Bearbeitungszyklen Synchronisation?

(tick) Lösung

Bei Maschinen mit mehreren Revolvern verbessert die Fähigkeit, verschiedene Zyklen zu synchronisieren, die Effizienz des Bearbeitungsprozesses, indem Leerlaufzeiten von Werkzeugen reduziert und die Bearbeitungszeiten jedes Zyklus ohne Kollisionen überlappt werden.

In GO2cam können Sie zur Definition der Synchronisation zwischen 2 Zyklen die folgenden Schritte ausführen:

Definieren Sie Ihre Bearbeitungszyklen wie gewohnt mit separaten Werkzeugen.

In diesem Beispiel möchten wir den Direkt_1 Einstichzyklus (grüne Werkzeugwege) mit dem Schruppzyklus am angegebenen Punkt (wie eingekreist) synchronisieren. Ziel ist es, den Einstichzyklus zu starten, sobald der Schruppzyklus den eingekreisten Punkt erreicht.

Um dies zu tun, Rechtsklick auf den erforderlichen Zyklus, in diesem Fall den Schruppzyklus, und wählen Sie Erstellung aus dem Werkzeugweg Techno Auswahl.

Wählen Sie Werkzeugweg Synchro aus der Dropdown-Liste.

Dann können Sie die Werkzeugwegparameter zur Definition der zu synchronisierenden Entität auswählen, auf OK klicken und validieren.

Für dieses Beispiel wählen wir die Element Ende und klicken auf die Werkzeugweglinie, die die eingekreiste Region berührt (im vorherigen Foto).

Wir wiederholen dasselbe für den Einstichzyklus (Direkt_1). Für die Werkzeugwegparameter wählen wir Zyklus Start und wählen die Einstichwerkzeugwege aus.

Als nächstes, im Maschinenbereich, können Sie Ihre Maschine laden, falls noch nicht geschehen, und Ihre Werkzeuge nach Bedarf einrichten.

Schließlich können Sie Ihre Synchronisation überprüfen, indem Sie auf die Synchronisationsfunktion klicken. Sie können die Synchronisation zwischen den Zyklen im Zeitdiagramm sehen.

▶️ You can watch a video of the example with some additional details below:

MTE Synchro-20240814-051305.png


(question) Frage

Wie kann ich ein Drehteil und seine Komponenten layouten?

(tick) Lösung

Für das Drehen haben wir unter dem Menü NC-Datei die Option Übertragen in Layout/Bemaßung im aufklappbaren Bereich.

Ihre Maschine sollte mit den Symbolen geladen sein: Spannfutter und Backen .

Sie müssen sicherstellen, dass die Symbole aus dem sym Ordner im GO2cam-Verzeichnis stammen.

In einigen Fällen kann es außerhalb dieses Ordners liegen und GO2cam wird eine Warnung .

Kopieren Sie einfach die Dateien in den sym-Ordner: C:\GO2cam_Intl\GO2camV6XX\sym

Beim Klicken auf das Symbol erscheint ein Dialogfeld:

Der Dialog ermöglicht es Ihnen:

  • Wählen Sie die Farbe des Layouts.

  • Zeigen Sie die Bezeichnungen der ausgewählten Zyklen an.

Wählen Sie die Zyklen die Sie layouten möchten, und klicken Sie auf das grüne Häkchen, um zu validieren .

GO2cam öffnet das speichert als Dialogfeld zum Speichern der Datei, bevor die Umgebung gewechselt wird.

Im Layout Design / Dimensioning können Sie mit dem Zeichnen des Layouts beginnen.

(question) Frage

Wie kann ich Innenschruppen mit einem radialen Werkzeugweg programmieren?

(tick) Lösung

Um Innenschruppen mit einem radialen Werkzeugweg zu erreichen, befolgen Sie diese Schritte:

  1. Profilrichtung: Definieren Sie die Profilrichtung für den Werkzeugweg. Typischerweise "Von oben nach unten".

image-20240528-101840.png
  1. Stellen Sie den Zyklustyp auf "Fläche" als Bearbeitungsstrategie ein. Dies ist entscheidend, da die Strategie "Fläche" dem Werkzeugweg ermöglicht, innen das Teilprofil zu bearbeiten.

Sehen Sie sich ein Video rechts an, das den Prozess erklärt.

image-20240528-102200.png

inside and Facing toolpaths-20240814-051357.png

(question) Frage

Wie kann ich manuell einen Werkzeugweg in GO2cam erstellen?

(tick) Lösung

Die Möglichkeit, einen Werkzeugweg manuell zu definieren, ist von größter Bedeutung, insbesondere bei der Anwendung spezifischer Formwerkzeuge . Solche Werkzeuge haben unterschiedliche Schneidformen und ihr Schneidpfad muss sorgfältig kontrolliert werden, um das Kollisionsrisiko zu vermeiden. Der Zyklus Punkt zu Punkt hilft dabei.

Er ist unter dem Teil Untermenü

Point to Point.png

zugänglich. Der Punkt-zu-Punkt-Zyklus ist ein 100% manueller Zyklus mit minimalen Parametern. Er wird verwendet, um spezifische Werkzeugwege zu generieren, die von anderen Zyklen nicht definiert werden können. Daher kann die Methode der Geometrieauswahl auch leicht abweichen. Zum Beispiel wurde im folgenden Beispiel, um die Innenform mit dieser spezifischen Werkzeugform zu bearbeiten, ein Führungsprofil (in Rot) gezeichnet, um die Geometrieauswahl zu unterstützen, insbesondere für Winkelbewegungen, um Kollisionen zu vermeiden.

Hinweis: Die Führung ist nicht zwingend erforderlich, in anderen Fällen kann der erforderliche Werkzeugweg einfach aus dem Teilprofil und den Anfahr-/Rückfahrpunkten definiert werden.

Guide.png

Wählen Sie die Führung zur Definition des Profils aus.

Definieren Sie den Anfahrpunktpfad. (in Rot)

Definieren Sie den Rückfahrpunktpfad. (in Gelb)

Der Anfahrpunkt definiert zusammen mit dem ausgewählten Profil und dem Rückfahrpunkt die gesamte Bewegung des gesteuerten Punkts des Werkzeugs.

Wählen Sie das Werkzeug und den Zyklus (Zyklustyp sollte intern sein) und führen Sie die Berechnung durch.

Dies generiert den Werkzeugweg zur Bearbeitung dieses Profils.

Für diesen Zyklus wird keine Rohteilberechnung durchgeführt. Auch gibt es keine Kollisionsprüfung zwischen Teil und Werkzeug.

Sie können ein Video rechts ansehen, das dieses Beispiel zeigt.

Geometry selection.png

Point to Point-20240814-051442.png

(question) Frage

Wie bearbeite ich eine interne Nut, die wie eine externe Nut orientiert ist?

(tick) Lösung

Um diese Nut zu bearbeiten, muss die Auswahl in -X Richtung erfolgen. Folglich muss das Teil symmetrische Silhouetten haben, damit die Geometrieauswahl in der unteren Silhouette erfolgen kann.

Außerdem sollte das Teil für die richtige Ausrichtung des Werkzeugs und zur Generierung der erforderlichen Werkzeugwege in der Rückwärtsspindel positioniert werden.

Sie können ein Video rechts ansehen, das dieses Beispiel zeigt.

Help  - Turning - Machining Inside Groove in -X-20250402-121209.png

(question) Frage

MTE: Wie kann ich 2 verschiedene Werkzeuge in einem synchronisierten Zyklus haben?

(tick) Lösung

Definieren Sie Ihren synchronisierten Schrupp-/Schlichtzyklus wie gewohnt mit den erforderlichen Synchronisationseinstellungen. In diesem Fall wird, da ein einzelnes Werkzeug gewählt wurde, dasselbe Werkzeug zweimal in MTE geladen.

Initial.PNG

Synchronization parameters-20240624-095710.PNG

Um ein zweites, anderes Werkzeug einstellen zu können, erweitern Sie den Zyklus im Bearbeitungsbaum. Rechtsklick auf das vorhandene Werkzeug wählen Sie ' Ein anderes gegenüberliegendes Werkzeug hinzufügen '.

Dies öffnet erneut das Werkzeugauswahlfenster, in dem Sie das gewünschte Werkzeug auswählen und validieren können.

Beide Werkzeuge werden nun im Bearbeitungsbaum sichtbar sein.

In MTE werden diese 2 Werkzeuge bei Auto-Mount automatisch auf gegenüberliegenden Revolvern montiert.

Opposite tool.png

2 tools.PNG

Sie können ein Video ansehen, das die Anwendung der synchronisierten Zyklen erklärt. Überspringen Sie zu 2.20 im Video, um die Definition von 2 verschiedenen Werkzeugen für den Zyklus anzuzeigen.

Balanced roughing - finishing-20240814-051528.png

(question) Frage

Wie funktioniert der Parameter "Entgratlänge"?

(tick) Lösung

Der Parameter "Entgratlänge" bestimmt die Distanz, die das Werkzeug in Z-Richtung fährt, um den Span an der Stange zu brechen. Diese Distanz beinhaltet den Werkzeugradius.

  1. Werkzeugweg: Das Werkzeug folgt einem vorgegebenen Weg entlang des Werkstücks.

  2. Z-Bewegung: Während sich das Werkzeug auf diesem Weg bewegt, gibt der Parameter "Entgratlänge" an, wie weit sich das Werkzeug in Z-Richtung (nach oben oder unten) bewegen soll, um den Span zu brechen.

  3. Spanentfernung: Diese Z-Bewegung entfernt effektiv den Grat oder Span, der sich am Ende des Werkstücks bildet.

image-20240913-104130.png

Deburring in Roughing.png

(question) Frage

Wie führe ich eine Drehbearbeitung auf einer Fräsmaschine durch?

(tick) Lösung

Um Drehbearbeitungen auf Ihrer Fräsmaschine durchzuführen:

  1. Maschineneinrichtung:

    • Die Maschine muss zuerst als Drehmaschine im Bereich Maschinenerstellung definiert werden. ( Von Wiederverkäufern )

    • Ihre Maschine muss eine 5-Achsen-Fräsmaschine mit Rundtisch

    • zwischen den Durchgängen wird durch die Vertikale Drehmodul erforderlich ist

  2. Werkstückspannung:

    • Nur Backen sind für die Werkstückspannung zulässig

  3. Operation:

    • Verwenden Sie das vertikale Drehmodul, um die Drehoperation einzurichten.

Turning on milling machine.png